新闻资讯
news
东莞市环仪仪器科技有限公司
电话:0769 83482055
传真:0769 83482056
移动电话:15322932685/宋小姐
地址:广东省东莞市东坑镇龙坑兴业路3号
常见问题
光储逆变电源高温老化室基于peck模型下的可靠性验证
光储逆变电源(光伏逆变器)是一种由半导体器件组成的电力调整装置,主要用于把直流电力转换成交流电力。由逆变器使用环境和失效机理分析,仅仅采用单一温度、湿度和电应力的单应力加速模型不能适用于该型产品。
为了验证逆变器较高的可靠性指标,综合考虑样品成本、数量和试验周期等经济、时效和可行性因素,选用温度-湿度(peck)模型双应力寿命加速模型,并基于此加速模型进行可靠性鉴定试验,逆变器试验样本量选为10台。以下是逆变器的可靠性验证内容。
试验设备:环仪仪器 光储逆变电源高温老化室

试验样品:10台逆变器
试验模型:温度-湿度(peck)
可靠性验证过程:
加速试验剖面的确定:
结合逆变器在使用的温度、湿度环境,基于加速损伤理论选定的逆变器加速寿命模型符合peck温-湿应力模型,该寿命-应力模型是由温度模型和湿度模型相乘耦合的双应力综合模型,即:

式中:
t-失效前时间;
a-常数;
rh-相对湿度,单位为%;
n-常数;
ea-激活能,单位为ev;
k-波尔茨曼常数,取值为8.617×10^-5ev/k;
t-绝对温度,单位为k。
加速因子的确定:
针对逆变器的硬件组成以半导体和ic器件为主,ic器件常见故障的激活能一般在0.8~1.0 ev之间。结合类似电力电子产品研发的工程经验及标准推荐,本次产品激活能取ea=0.9 ev。
n的范围在1~12之间,取典型值n=3。则加速因子为:

式(2)中:
rhu—常规运行下的百分比相对湿度,rhu=85%;
rhs—加速应力下的百分比相对湿度,rhs=95%;
tu—常规运行下以k表示的温度,tu=308.15;
ts—加速应力下以k表示的温度,ts=338.15;
k—波尔茨曼常数,取值为8.617×10^-5ev/k。
统计方案:
为了快速地验证该型逆变器可靠性指标是否达到分配指标,综合考虑确定使用方风险β为30%,选择试验统计方案号为gjb899a—2009标准附录a中图a.24方案号30-1,拒收故障数为1。
如下表计算所示,当10台逆变器试验样品按照上述试验应力剖面进行加速试验时,出现1次责任故障或时间累计达到2 124.739 h时(两者优先满足其一即可),即判决该逆变器通过可靠性鉴定。

可靠性试验结果:
加速试验后,根据逆变器试验记录统计,经过筛选后的10台逆变器同时开始试验,在设定的加速试验剖面下加速运行至261.5h,责任故障数r=0结束试验,则10台逆变器累计试验时间2 615 h,0失效,判为接收,通过试验。
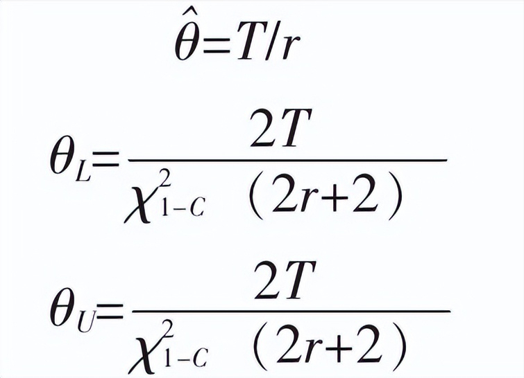
对本次试验全过程进行统计,总的试验时间为t,责任故障数为r,根据gjb 899a-2009“a.5.4.4”可知,定时试验的验证区间,估计值和区间估计值的计算公式为:

由于r=0,无法得到点估计值和置信上限,仅能进行置信下限的估计。此处采用一种简便的mtbf置信下限的估算方法:
使用方风险β=30%时,总试验时间为t=2 615 h,本次试验逆变器计算出的mtbf置信下限:

又结合加速因子,推导出常规运行环境下该型逆变器的mtbf置信下限:

由此可知,在等效2 615 h可靠性试验结束时,在70%置信度下逆变器mtbf的置信下限值为61 328 h,符合逆变器分配的可靠性指标mtbf≮50 000 h的要求。
以上就是光储逆变器peck模型下的可靠性验证过程,如有试验疑问,可以咨询环仪仪器相关技术人员。
上一篇: 光电逆变器老化测系统在国内外标准老化试验的应用 下一篇: 凝露试验箱
光储逆变电源高温老化室基于peck模型下的可靠性验证-welcome网站

环仪仪器厂家提供完整的welcome网站的售后服务,每一台环仪设备都有机身编号,只需提供机身号就可获得高效的覆盖全国30多个省市的welcome网站的售后服务,环仪承诺环境测试舱2年质保,终身维修,服务网点及周边地区确保2小时快速响应。


